All
Search
Images
Videos
Maps
News
More
Shopping
Flights
Travel
Notebook
Report an inappropriate content
Please select one of the options below.
Not Relevant
Offensive
Adult
Child Sexual Abuse
Length
All
Short (less than 5 minutes)
Medium (5-20 minutes)
Long (more than 20 minutes)
Date
All
Past 24 hours
Past week
Past month
Past year
Resolution
All
Lower than 360p
360p or higher
480p or higher
720p or higher
1080p or higher
Source
All
Dailymotion
Vimeo
Metacafe
Hulu
VEVO
Myspace
MTV
CBS
Fox
CNN
MSN
Price
All
Free
Paid
Clear filters
SafeSearch:
Moderate
Strict
Moderate (default)
Off
Filter
0:40
YouTube
infyGyan
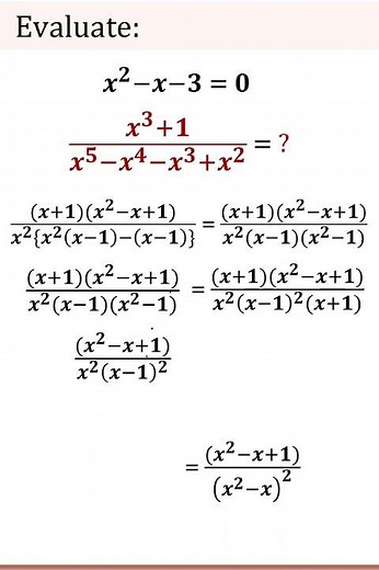
Simplify Algebraic Expressions with Ease
Simplify Algebraic Expressions with Ease This short explains how to simplify rational expressions in an easy and simple way using algebraic identities. Thanks for watching. #short #shorts #algebra #math #simplify #expressions
2.6K views
1 month ago
Related Products
Simplify Each Expression
Expression in Math Example
Algebra Simplifier
#maths
🟥 The Biggest and Smallest Number 💯 | Learn to Count | @Numberblocks
YouTube
1 month ago
Back to School Counting Fun 1 to 10! | Counting made Exciting | Numberblocks
YouTube
4 weeks ago
Top videos
0:56
Mastering Simplifying Rational Expressions
YouTube
Math and Science
2.8K views
Feb 23, 2024
1:00
How to Simplify Algebraic Expressions?
YouTube
infyGyan
2K views
4 months ago
0:48
Understanding Simplifying Rational Expressions
YouTube
Math and Science
2.9K views
Feb 11, 2024
Simplification Algébrique
0:38
Learn math tricks and simplification! #maths #shortfeed #algebra #simplify #shorifsir #viralmath
YouTube
Shorif Sir
17.9K views
1 month ago
1:01
Simplification Tricks 🪄: RRB Clerk | Viral Maths #025 | Amar Sir
YouTube
Amar Sir
5.2K views
3 weeks ago
0:28
Simplification: 5 Magic Tricks! 🪄 Solve in 2 Seconds 🔥 | Amar Sir Maths
YouTube
Amar Sir
7.6K views
1 month ago
0:56
Mastering Simplifying Rational Expressions
2.8K views
Feb 23, 2024
YouTube
Math and Science
1:00
How to Simplify Algebraic Expressions?
2K views
4 months ago
YouTube
infyGyan
0:48
Understanding Simplifying Rational Expressions
2.9K views
Feb 11, 2024
YouTube
Math and Science
0:33
Simplify Expressions like a Pro!
2.9K views
3 months ago
YouTube
infyGyan
0:59
How to Simplify Algebraic Expressions
3 views
3 months ago
YouTube
infyGyan
0:30
How to simplify expressions with ease
2.3K views
1 month ago
YouTube
infyGyan
0:47
Simplify a Logarithmic Expression | jensenmath.ca #maths #highscho
…
9.8K views
Feb 19, 2024
YouTube
JensenMath
0:41
Simplify Expressions like a Genius
1.5K views
2 months ago
YouTube
infyGyan
2:36
Simplify Expressions with Negative Exponents
639 views
2 months ago
YouTube
mrmaisonet
0:59
Simplify the expression with fractional and negative exponents
…
227 views
2 weeks ago
YouTube
Engineering Math Shorts
5:50
Joy T Academy on TikTok
13.7K views
10 months ago
TikTok
joytacademy
Simplify Algebraic Fractions in Maths | Step-by-Step Guide
3.2M views
Oct 17, 2022
TikTok
freegcsemathsteacher
Simplifying Algebraic Expressions for Grade 10 Students
758.4K views
10 months ago
TikTok
maths_tutorials7
0:20
SerMonthematics on TikTok
778.6K views
Jun 29, 2024
TikTok
sermonthematics
1:31
Simplifying Linear Equations: Step-by-Step Guide
723.1K views
11 months ago
TikTok
romeoghstudios
0:57
Solving Quadratic Equations: Standard Form & Formula Simplified
539K views
Dec 20, 2023
TikTok
ugmathtutor
9:32
Simplifying Expressions Fully in Algebra: Step-by-Step Tutorial
206.2K views
Aug 10, 2024
TikTok
maths_tutorials7
0:50
Expand and Simplify Algebraic Expressions: Step-by-Step Guide
70.4K views
May 20, 2022
TikTok
hannahkettlemaths
1:25
Maths with Esomnofu on TikTok
443K views
9 months ago
TikTok
maths_with_esomnofu
See more videos
More like this
Feedback