English
全部
搜索
图片
视频
地图
资讯
更多
购物
航班
旅游
笔记本
报告不当内容
请选择下列任一选项。
无关
低俗内容
成人
儿童性侵犯
时长
全部
短(小于 5 分钟)
中(5-20 分钟)
长(大于 20 分钟)
日期
全部
过去 24 小时
过去一周
过去一个月
去年
清晰度
全部
低于 360p
360p 或更高
480p 或更高
720p 或更高
1080p 或更高
源
全部
Dailymotion
Vimeo
Metacafe
Hulu
VEVO
Myspace
MTV
CBS
Fox
CNN
MSN
价格
全部
免费
付费
清除筛选条件
安全搜索:
中等
严格
中等(默认)
关闭
筛选器
3:24
Facebook
Mathematics Tutorial
195K views · 6.3K reactions | BASIC ALGEBRA: FINDING THE VALUE OF X. #MathReview | Mathematics Tutorial | Facebook
Mathematics Tutorial. . BASIC ALGEBRA: FINDING THE VALUE OF X. #MathReview
已浏览 19.6万 次
3 周前
短视频
0:30
已浏览 1.3万 次
29K views · 284 reactions | Absolute Values, but let’s get creative! #absolutevalue
Tanya Zakowich
0:15
已浏览 67 次
4 comments | Can you find the correct value for $x$? It looks simple, but you have
KnowledgeVerse Analytics
Math Tutorials
11:08
Algebra Basics: Solving Basic Equations Part 1 - Math Antics
YouTube
mathantics
已浏览 594.3万 次
2015年5月22日
9:35
Algebra Basics: Solving Basic Equations Part 2 - Math Antics
YouTube
mathantics
已浏览 417.7万 次
2015年5月22日
12:07
Algebra Basics: What Is Algebra? - Math Antics
YouTube
mathantics
已浏览 1012.9万 次
2015年5月22日
热门视频
3:34
128K views · 4.2K reactions | Find the value of X? | Philippine Review Center | Facebook
Facebook
Philippine Review Center
已浏览 12.9万 次
4 周前
10:59
20K views · 5.1K reactions | 1.) If –a³ + b² = –a³ + 9, then b could equal which of the following? a. –9 b. –³√9 c. ³√9 d. 3 e. 9 2.) If 4(n + 6) = 44, what is the value of n? a. 25/2 b. 19/2 c. 11 d. 5 e. 50 3.) When 2x is subtracted from 48 and the difference is divided by x + 3, the result is 4. What is the value of x? a. 2 b. 5 c. 6 d. 8 e. 12 | Free Reviewers with Leonalyn | Facebook
Facebook
Free Reviewers with Leonaly
已浏览 2万 次
1 个月前
0:14
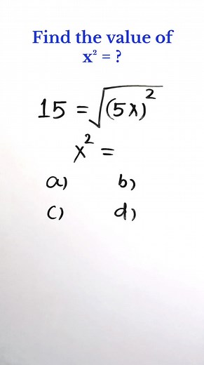
2.5K views · 16 reactions | Find the value of X² = ? || math test - 1003 #mathtest #mathematics #simplification #mathtutor #math #education #algebra #mathproblems | Deb Kumar Barik | Facebook
Facebook
Deb Kumar Barik
已浏览 552 次
4 周前
Absolute Value Examples
0:13
Che's Encore: A Top Track from the Album
TikTok
taxforquack
已浏览 6.8万 次
1 周前
0:10
absolute cinema #subwaysurfers #roblox #thehillshaveeyes #fyp #viral | the hills have eyes
TikTok
subwaysurfers
已浏览 1660万 次
2 周前
0:59
Morning Chaos with Garnier Micellar Water
TikTok
farahwen
已浏览 480万 次
1 周前
3:34
128K views · 4.2K reactions | Find the value of X? | Philippine Revie
…
已浏览 12.9万 次
4 周前
Facebook
Philippine Review Center
10:59
20K views · 5.1K reactions | 1.) If –a³ + b² = –a³ + 9, then b could equal
…
已浏览 2万 次
1 个月前
Facebook
Free Reviewers with Leonalyn
0:14
2.5K views · 16 reactions | Find the value of X² = ? || math test - 1003 #
…
已浏览 552 次
4 周前
Facebook
Deb Kumar Barik
Calculating Expected Value | Algebra | Study.com
2021年6月15日
study.com
5:00
You must c C reate an account to continue watching
已浏览 15.4万 次
2017年10月2日
Study.com
Find the values of a and b from the quadratic equation 2x2 – 5x 7 = 0.
…
2024年9月17日
shaalaa.com
3:56
X Finds Out His Value
已浏览 1361.8万 次
2008年12月31日
YouTube
jacknjellify
11:44
Absolute Value - Understand In 10 Minutes
已浏览 6.3万 次
2019年10月9日
YouTube
TabletClass Math
5:44
LEARN: Evaluating Expressions With Two Variables
已浏览 4162 次
2 个月之前
YouTube
The Maths Guy!
Algebra 2 Full Course
已浏览 49.6万 次
2022年4月2日
YouTube
GreeneMath.com
13:39
Parent Functions and Transformations — Comprehensiv
…
已浏览 4.2万 次
2020年12月27日
YouTube
Intuitive Math
10:46
A Nice Algebra Problem | Math Olympiad | Find value of a and b?
已浏览 4314 次
5 个月之前
YouTube
SALogic
13:19
The EXACT Steps to Solve This Algebra 2 Problem
已浏览 2.4万 次
2022年7月21日
YouTube
TabletClass Math
Evaluating an Algebraic Expression with Whole Numbers & 2 Operatio
…
2021年6月15日
study.com
Easy Ways to Remember Algebra II
已浏览 1.6万 次
2015年5月22日
YouTube
eHowEducation
Algebra 2: 5.3 Notes: Example 3 - Function Values of Variables
已浏览 3574 次
2014年10月22日
YouTube
MrKlineTL
16:04
Learn Algebra 2
已浏览 10.9万 次
2020年8月12日
YouTube
Derek Banas
6:31
Solving Matrix Equations
已浏览 83.3万 次
2018年2月17日
YouTube
The Organic Chemistry Tutor
5:27
Algebra Substitution - GCSE Maths
已浏览 13.2万 次
2020年6月7日
YouTube
JED Maths
13:15
Math Antics - Absolute Value
已浏览 96.9万 次
2019年9月25日
YouTube
mathantics
51:23
21. Eigenvalues and Eigenvectors
已浏览 75万 次
2019年9月24日
YouTube
MIT OpenCourseWare
40:33
Solving Advanced Absolute Value Equations
已浏览 13.2万 次
2019年11月30日
YouTube
GreeneMath.com
20:53
How To Solve Absolute Value Equations
已浏览 91.5万 次
2018年11月17日
YouTube
The Organic Chemistry Tutor
20:45
ALGEBRAIC EXPRESSIONS & EQUATIONS | GRADE 6
已浏览 97.6万 次
2021年4月5日
YouTube
Sheena Doria
17:10
Finding Eigenvalues and Eigenvectors
已浏览 122.5万 次
2019年7月17日
YouTube
Professor Dave Explains
5:00
Solving an Absolute Value Equation
已浏览 54.2万 次
2012年9月11日
YouTube
Brian McLogan
11:49
Evaluating Functions - Basic Introduction | Algebra
已浏览 31.1万 次
2017年5月4日
YouTube
The Organic Chemistry Tutor
11:28
KutaSoftware: Algebra 2- Absolute Value Inequalities Part 1
已浏览 1万 次
2017年10月30日
YouTube
MaeMap
14:41
Algebraic Expressions – Algebra Basics
已浏览 130.1万 次
2019年2月28日
YouTube
TabletClass Math
观看更多视频
更多类似内容
反馈