English
全部
搜索
图片
视频
短视频
地图
资讯
更多
购物
航班
旅游
笔记本
报告不当内容
请选择下列任一选项。
无关
低俗内容
成人
儿童性侵犯
时长
全部
短(小于 5 分钟)
中(5-20 分钟)
长(大于 20 分钟)
日期
全部
过去 24 小时
过去一周
过去一个月
去年
清晰度
全部
低于 360p
360p 或更高
480p 或更高
720p 或更高
1080p 或更高
源
全部
Dailymotion
Vimeo
Metacafe
Hulu
VEVO
Myspace
MTV
CBS
Fox
CNN
MSN
价格
全部
免费
付费
清除筛选条件
安全搜索:
中等
严格
中等(默认)
关闭
筛选器
2:50
MSN
Brian McLogan
How to understand evaluating the limit of a graph
👉 Learn how to evaluate the limit of a function from the graph of the function. The limit of a function as the input variable of the function tends to a number/value is the number/value which the function approaches at that time. When evaluating the limit of a function from the graph of the function we observe where the y-value of the graph ...
4 周前
短视频
0:09
已浏览 5868 次
Brothers, how do you solve this problem? #IdealGirlfriend #BoyfriendPerspective #vlog
女神录
0:05
已浏览 128 次
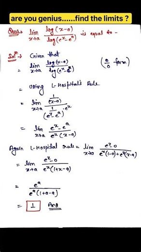
find the limits ? | concept of limits | limits important PYQs #limits #class11
atulsirmaths
Calculus Limits
20:20
Calculus 1 - Introduction to Limits
YouTube
The Organic Chemistry Tutor
已浏览 647.2万 次
2021年1月1日
11:08
Introduction to Limits
YouTube
The Organic Chemistry Tutor
已浏览 51.6万 次
2017年5月30日
11:35
Evaluating Limits By Factoring
YouTube
The Organic Chemistry Tutor
已浏览 152.6万 次
2018年2月20日
热门视频
6:01
Estimating limit values from graphs
Khan Academy
2017年9月30日
2:46
Introduction to limits at infinity
Khan Academy
2018年8月22日
2:41
Evaluate the limits from a graph with horizontal and vertical asymptotes
MSN
Brian McLogan
1 个月前
Limit Theorems
26:21
Basic Calculus - Theorems on Limits
YouTube
Señor Pablo TV
已浏览 32.3万 次
2021年3月30日
10:12
LIMIT THEOREMS | Calculus
YouTube
Math Room by Teacher Joan
已浏览 4311 次
2021年1月15日
27:59
ILLUSTRATION OF LIMIT THEOREMS || BASIC CALCULUS
YouTube
WOW MATH
已浏览 25.1万 次
2022年2月21日
6:01
Estimating limit values from graphs
2017年9月30日
Khan Academy
2:46
Introduction to limits at infinity
2018年8月22日
Khan Academy
2:41
Evaluate the limits from a graph with horizontal and vertical asymptotes
1 个月前
MSN
Brian McLogan
45:43
Finding Limits Graphically
2015年8月5日
calcworkshop.com
6:45
Limits
已浏览 10.2万 次
2019年12月20日
YouTube
The Organic Chemistry Tutor
15:41
FINDING LIMITS ALGEBRAICALLY - CALCULUS
已浏览 15.2万 次
2017年7月11日
YouTube
TrevTutor
12:48
Introduction to Limits (NancyPi)
已浏览 78.1万 次
2018年8月31日
YouTube
NancyPi
1:49
Limits Calculator Technique
已浏览 95.8万 次
2020年3月25日
YouTube
EngineerProf PH
5:13
Properties of Limits
已浏览 47.5万 次
2018年2月20日
YouTube
The Organic Chemistry Tutor
5:00
3 WAYS TO SOLVE LIMITS
已浏览 42万 次
2019年3月20日
YouTube
Arnold Tutoring
11:08
Introduction to Limits
已浏览 51.6万 次
2017年5月30日
YouTube
The Organic Chemistry Tutor
17:44
Limits and Absolute Value
已浏览 69.6万 次
2018年2月21日
YouTube
The Organic Chemistry Tutor
10:07
Limits and Logarithms
已浏览 24.8万 次
2019年12月24日
YouTube
The Organic Chemistry Tutor
22:59
Limit Theorems - Basic/Differential Calculus
已浏览 16.7万 次
2021年1月31日
YouTube
STEM Teacher PH
19:25
Limit Theorems | Calculus 1
已浏览 7.8万 次
2020年8月26日
YouTube
Learn Easy with Val
11:35
Evaluating Limits By Factoring
已浏览 152.6万 次
2018年2月20日
YouTube
The Organic Chemistry Tutor
6:25
Evaluating Limits - Basic Calculus
已浏览 25.2万 次
2021年1月20日
YouTube
MATH TEACHER GON
9:35
Limits of Functions - part 1
已浏览 80.8万 次
2008年10月11日
YouTube
Terry's Math Tutoring
3:11
Examples: Determining Basic Limits Graphically
已浏览 3.8万 次
2011年6月24日
YouTube
Mathispower4u
11:32
How To Evaluate Limits From a Graph
已浏览 185.9万 次
2018年2月21日
YouTube
The Organic Chemistry Tutor
20:20
Calculus 1 - Introduction to Limits
已浏览 647.2万 次
2021年1月1日
YouTube
The Organic Chemistry Tutor
15:23
Limits of Trigonometric Functions
已浏览 243万 次
2018年2月21日
YouTube
The Organic Chemistry Tutor
11:57
Evaluating limits from a graph | @Prof D
已浏览 16万 次
2021年4月3日
YouTube
Prof D
19:24
Limits at Infinity & Horizontal Asymptotes
已浏览 138.1万 次
2018年2月21日
YouTube
The Organic Chemistry Tutor
9:28
One sided Limits - Calculus
已浏览 54.1万 次
2011年9月26日
YouTube
Math Meeting
4:52
Limits Determined by Tables
已浏览 7万 次
2017年9月25日
YouTube
vinteachesmath
29:04
Infinite Limits and Vertical Asymptotes
已浏览 96.2万 次
2017年6月4日
YouTube
The Organic Chemistry Tutor
16:42
How to Find Any Limit (NancyPi)
已浏览 142.1万 次
2018年5月15日
YouTube
NancyPi
9:58
Limit examples (part 3) | Limits | Differential Calculus | Khan Acade
…
已浏览 97.9万 次
2007年9月30日
YouTube
Khan Academy
观看更多视频
更多类似内容
反馈