English
全部
搜索
图片
视频
地图
资讯
更多
购物
航班
旅游
笔记本
报告不当内容
请选择下列任一选项。
无关
低俗内容
成人
儿童性侵犯
时长
全部
短(小于 5 分钟)
中(5-20 分钟)
长(大于 20 分钟)
日期
全部
过去 24 小时
过去一周
过去一个月
去年
清晰度
全部
低于 360p
360p 或更高
480p 或更高
720p 或更高
1080p 或更高
源
全部
Dailymotion
Vimeo
Metacafe
Hulu
VEVO
Myspace
MTV
CBS
Fox
CNN
MSN
价格
全部
免费
付费
清除筛选条件
安全搜索:
中等
严格
中等(默认)
关闭
筛选器
owlcation.com
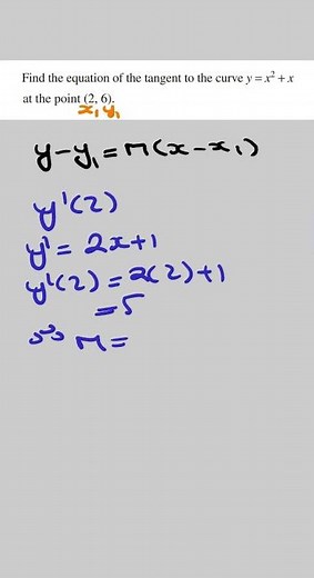
Math: How to Find the Tangent Line of a Function in a Point
The tangent line of a function in a point is a straight line that has the same slope as the function has in that point.
2020年4月25日
短视频
1:57
已浏览 34.8万 次
602K views · 9K reactions | Tangent Line Explained in Under 2 Minutes
Michael French
1:33
已浏览 8818 次
2.2K views · 138 reactions | Bodhi’s working on a new challenge today...
Best Gun Dogs
Calculus Videos
36:22
Understand Calculus in 35 Minutes
YouTube
The Organic Chemistry Tutor
已浏览 501万 次
2018年9月10日
5:22:16
You Can Learn Calculus 1 in One Video (Full Course)
YouTube
The Math Sorcerer
已浏览 23.4万 次
2019年11月2日
1:27:26
Calculus 1 Lecture 1.1: An Introduction to Limits
YouTube
Professor Leonard
已浏览 351.3万 次
2012年8月22日
热门视频
9:43
How to Find the Equation of a Tangent Line
wikiHow
Jake Adams
已浏览 133.1万 次
9 个月之前
How to Find the Tangent Line to a Curve at a Given Point | Calculus | Study.com
study.com
2021年6月17日
Finding the equation of the tangent line at a point — Krista King Math | Online math help
kristakingmath.com
2019年5月8日
Tangent Line Problems
1:51
What is tangent and Looking at how a #tangent line works in a #circle #trigonometry #function #mathtiktok #math #maths #mathematics #trig #mathhack #stemtiktok #mathhelp #matheducation #stem #stemtok
TikTok
math.with.me2
已浏览 4.7万 次
6 个月之前
0:42
The One Piece tangent… 🏴☠️😆⚱️ #daddydaughter #firsttimeparents #babytok #onepiece #onepieceanime
TikTok
giorginamartino
已浏览 4.9万 次
1 个月前
2:09
Understanding Tangent Lines in Circles | Trigonometry Part 2
TikTok
math.with.me2
已浏览 3.1万 次
6 个月之前
9:43
How to Find the Equation of a Tangent Line
已浏览 133.1万 次
9 个月之前
wikiHow
Jake Adams
How to Find the Tangent Line to a Curve at a Given Point | Calculus
…
2021年6月17日
study.com
Finding the equation of the tangent line at a point — Krista King Math
…
2019年5月8日
kristakingmath.com
How to Find the Equation of a Tangent Line – mathsathome.com
2023年1月17日
mathsathome.com
FIND Tangent Line of Circle WITHOUT DERIVATIVE | No Calcul
…
已浏览 1.2万 次
2011年5月13日
YouTube
TucsonMathDoc
Tangent to a Parabola - Equation and Solved Examples
2021年8月10日
byjus.com
How to Find Equation of Tangent Line at a Point | VCE Maths Methods
已浏览 3157 次
2023年7月19日
YouTube
Maths Methods Club
2:49
Tangent Line in Geogebra
已浏览 1.2万 次
2020年3月25日
YouTube
DrBrainWalton
7:40
Circles: Tangent Lines
已浏览 1.2万 次
2020年3月25日
YouTube
FerranteMath
13:55
Tangent Lines of Parametric Curves
已浏览 43.6万 次
2018年4月3日
YouTube
The Organic Chemistry Tutor
6:27
Writing Equations for Tangent Graphs
已浏览 8.7万 次
2018年3月15日
YouTube
WOWmath
3:30
Tangent Line Using Difference Quotient
已浏览 2.1万 次
2016年4月16日
YouTube
Mario's Math Tutoring
5:02
Finding Slope on a Curve
已浏览 26.1万 次
2012年7月19日
YouTube
mrwaynesclass
8:36
Equation of a Tangent to a Curve - Corbettmaths
已浏览 27.4万 次
2019年4月26日
YouTube
corbettmaths
7:40
Equation of a Tangent to a Circle | ExamSolutions
已浏览 4.4万 次
2019年4月29日
YouTube
ExamSolutions
7:10
13.2 Tangent Line (Vector valued function)
已浏览 9517 次
2017年12月17日
YouTube
CBlissMath
10:08
Determining the Equation of a Tangent Plane
已浏览 23.9万 次
2011年2月4日
YouTube
Mathispower4u
3:50
Tangent line to a vector equation
已浏览 6.2万 次
2011年6月28日
YouTube
David Lippman
4:22
2 Tangent Lines to a Circle Which Intersect at an External Point
已浏览 4.1万 次
2014年8月12日
YouTube
CaddellPrep Online
5:29
Understanding Differentiation Part 1: The Slope of a Tangent Line
已浏览 29.6万 次
2018年2月21日
YouTube
Professor Dave Explains
11:26
Finding Slopes and Equations of Tangent Lines (Calculus 1)
已浏览 1.4万 次
2020年6月4日
YouTube
Houston Math Prep
4:39
Finding the Equation of a Tangent
已浏览 16.5万 次
2015年6月29日
YouTube
Eddie Woo
5:15
How to Find the Equation of a Tangent Line
已浏览 1.8万 次
2018年9月1日
YouTube
Dr. Trefor Bazett
6:21
2.1 Finding the Slope of a Tangent Line - Example 1
已浏览 67.1万 次
2011年6月24日
YouTube
rootmath
30:10
Given a Tangent Line & Circle Find the Point of Tangency
已浏览 11.1万 次
2014年8月5日
YouTube
ProfRobBob
9:25
Tangent line of Parametric Equations (2 examples)
已浏览 4695 次
2020年8月5日
YouTube
vinteachesmath
12:19
Finding The Tangent Line Equation With Derivatives - Calculus Proble
…
已浏览 221.3万 次
2016年2月21日
YouTube
The Organic Chemistry Tutor
7:47
Calculus - Equation / Slope of a tangent line at a point
已浏览 7.9万 次
2018年2月9日
YouTube
SolveMyMathHW
6:43
2.1 Finding the Slope of Tangent Line - Example 2
已浏览 13万 次
2011年6月24日
YouTube
rootmath
观看更多视频
更多类似内容
反馈